陕西兴诚兴农水利水电工程有限公司

设为首页 | 收藏本站
Shaanxi Xingcheng Xingnong Water Conservancy And Hydropower Engineering Co., Ltd.
新闻动态

新闻动态

副标题

联系我们

联系我们

副标题

undefined 电话:029-87039861

undefined 邮箱:yanglingxingcheng@163.com

undefined 地址:陕西省杨凌示范区康乐路东段开皇广场9层9-001-9

堤防工程碾压试验

堤防碾压实验

1、碾压试验的目的如下:

(1)检验土料与砂砾(卵)料压实后是否能够达到设计压实度值。

(2)检查压实机具的性能是否满足施工要求。

(3)选定合理的施工压实参数:铺料厚度、土块限制直径、含水量的适宜范围、压实方法和压实遍数。

(4)确定有关质量控制的技术要求和检测方法。

2、碾压试验应符合下列基本要求:

(1)试验应在开工前完成。

(2)试验所用的土料与砂砾(卵)料应具有代表性,并符合设计要求。

(3)试验时采用的机具应与施工时使用机具的类型、型号相同。

3、碾压试验场地布置应符合下列要求:

(1)碾压试验允许在堤基范围内进行,试验前应将堤基平整清理,并将表层压实至不低于填土设计要求的密实程度。

(2)碾压试验的场地面积,应不小于20m×30m。

(3)将试验场地以长边为轴线方向,划分为10m×15m的4个试验小块。

4、碾压试验方法及质量检测项目如下:

(1)在场地中线一侧的相连两个试验小块,铺设土质、天然含水量、厚度均相同的土料;中线另侧的两个试验小块,土质和土厚均相同,含水量较天然含水量分别增加或减少某一幅度。

(2)铺料厚度和土块限制直径按SL260-2014表8.2.2选取,不再做比较。


图片

图片


(3)每个试验小块,按预定的计划、规定的操作要求,碾压至某一遍数后,相应在填筑面上取样做密度试验。
(4)每个试验小块,每次的取样数应达12个,测定干密度值。
(5)应测定压实后土层厚度,并观察压实土层底部有无虚土层、上下层面结合是否良好、有无光面及剪力破坏现象等,并作记录。
(6)压实机具种类不同,碾压试验应至少各做一次。
(7)若需对某参数做多种调控试验时,应适当增加试验次数。
(8)碾压试验的抽样合格率,宜比SL260-2014表11.5.1-1规定的合格率标准提高3个百分点。


图片

(9)砂砾(卵)料碾压试验,参照土料碾压试验方法进行。


5、试验完成后,应及时将试验资料进行整理分析,绘制压实度与压实遍数的关系曲线等。

6、根据碾压试验结果,提出正式施工时的碾压参数。若试验时质量达不到设计要求,应分析原因,提出解决措施。

7、黏性土筑堤压实度与压实干密度存在着函数关系,可根据下式进行换算:


图片


8、标准击实试验按SL237中规定的轻型击实试验方法进行。
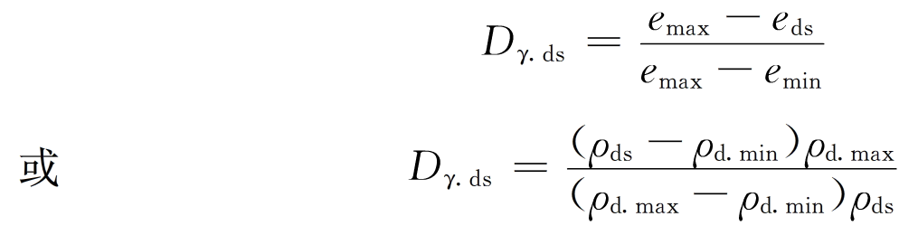
9、无黏性土筑堤时,填筑压实相对密度可以按下式,通过SL237规定的方法进行相对密度试验求得。


图片


图片


文章分类: 行业资讯
分享到:
website qrcode

手机版

联系方式
——
         yanglingxingcheng@163.com
         029-87039861
         陕西省杨凌示范区康乐路东段开皇广场9层9-001-9
主营项目>>

水利水电工程设计

防洪影响评价

水环境工程设计

农业灌溉设施设备

环保工程施工
在线客服
 
 
 
 
 联系方式
客服热线:029-87039861
邮箱:xcshuili2021@163.com
地址:陕西省杨凌示范区安居路竹园小区6号楼3单元601室